南大《软件分析》15.0 CFL-Reachability and IFDS
课程环境:https://tai-e.pascal-lab.net/lectures.html
课程视频:https://www.bilibili.com/video/BV1b7411K7P4
南大《软件分析》15.0 CFL-Reachability and IFDS
这节课的内容比较难,理解起来比较困难,包括我自己,所以尽可能给出容易理解的解释。
在实际分析的过程中,一个控制流图会非常复杂,比如下图

但这并不意味这张图里面所有的路径都会被执行(实际不会被执行的边称为 infeasible path),因此就产生了一个需求,尽可能通过一个may analysis 来判断一个边是不是 infeasible,从而来减少在程序分析过程中的误报,简单来说就是想让分析的结果更加精确。

比如以上面这个程序为例,不考虑上下文敏感的过程间分析,最后常量传播的结果为绿色部分所示,其实我们知道结果完全可以更精确一点,即 x=18,-1 和 y = 30,-1,之所以造成上面的原因是因为静态分析将两次 call site 分析的结果没有区分直接进行了整合。而这一点是可以避免的,让结果更精确,这就是 IFDS 所要完成的目的
Realizable Paths

这里给出了 realizable path 的概念,其实就是我们前面提到的例子,剔除掉程序中的 infeasible path,那么剩余的 path 就是 realizable path。
注意事项:需要辨析的是 realizable path 可能会被执行也可能会不执行,但是 unrealizable path(infeasible path)一定不会被执行。

以前面的例子为例,我们要做的就是如上图所示,就像在上下文敏感技术中那样,尽可能让这些调用之间”隔离”,而做到这一点就需要引入 CFL-Reachability。
CFL-Reachability

与我们之前理解的可达性(reachability)不一样,不是说两个 node 之间有条路径就能满足了,还要满足上下文无关语法。怎么理解呢,将每一条边用一个”字母”来表示,最后通过 CFG 来检查这条路径上的所有边构成的”单词”是否满足特定语法,才能最终决定 A 是否与 B 之间是可达的。

CFG 的简单介绍如上,暂且先理解为其可以进行替换,即只要出现了 S,那么其就可以替换为 aSb 或者 ε。

这一部分通过举例来说明部分括号匹配问题在 CFL 中的应用。
IFDS
其实这一部分,包括前面的部分,如果直接看理论会比较难理解,但这些其实都在为应用做准备,如果将例子理解的话(相对理论会容易理解些),就会同时理解前面的这些概念,所以说不要放弃。首先给出其概念

定义:IFDS 是基于有限域的(数据域是有限的,可以使用有限状态的表示和算法来处理数据流分析的问题),且数据流函数具有分配性质的过程间数据流分析。
指明 IFDS 研究范围是过程间的,有限的,满足分配的,子问题。
在前面的数据流分析中,我们有学过 MOP(“meet-over-all-paths),简单来说就是将每条路径上的结果到最后在一起汇总,那这里现在引入了 MRP(Meet-Over-All-Realizable-Paths),MRP 加入了 Realizable 这一性质,其实本质是一样的,不过我们这里只关注 Realizable path,因此与之相对应的方法就有了 MRP。

这里需要理解 flow function,在 IFDS 这一节中,我们在图上每条边上定义函数(后面举例会看到),这其实与之前的node差不多,只不过是以不同形式定义的,注意做好区分就行。

这张图给出了 IFDS 的过程,首先建立 supergraph G*,其次建立 exploded supergraph G#,最后对前面建立的G# 使用 Tabulation algorithm 求解可达性问题。
Supergraph G*

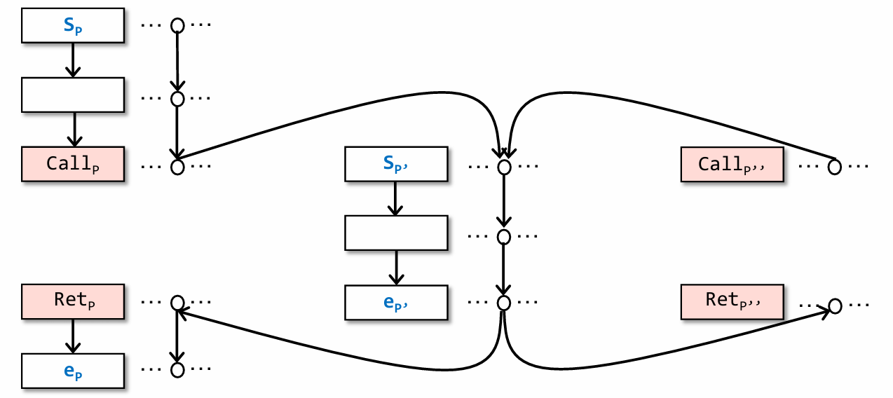
先来看看如何建立一个 Supergraph,前面两点都比较容易理解,需要注意的是第三点,在 IFDS 中,我们会将一个过程调用 call 用两个节点表示,一个叫做 call node,另外一个叫做 return-site node。

还有就是在 G* 中,要为过程调用引入三条新的边,分别为 call-to-return-site edge,call-to-start edge,exit-to-return-site edge。
还记得前面提到的 flow function 嘛,这里还要定义 flow function,在这一部分内容中定义如下:
“Possibly-uninitialized variables”: for each node n ∈ N*, determine the set of
variables that may be uninitialized before execution reaches n.
简单来说就是在到达 n 之前,没有被初始化的变量都有哪些。
还需要注意的就是,这种 λ λ x.x+1,前面的 x 是它的参数,x+1 是函数体(用花括号表示时代表输出)

这就是根据我们前面对 flow function 的定义,最终得到的基于每条边的 flow function,最好能理解,看不懂也大概能体会到这个意思,这个 flow function 可以帮助后面建立 G#。
Exploded Supergraph G##

如上图所示,其实这个概念也相对理解起来有点抽象,怎么理解呢,就是说它把前面 G* 中关注的变量全部用一个 node 表示,如右上黄色部分所示,同时还引入了一个新的 node 0(后面会解释为什么需要一个 node 0),另外同时下面又有一排与上面一模一样的node。实际上 G# 做的事就是根据规则(
这里对每一条规则都进行解释(**理解了这个就理解了 G#**):
{(0,0)} :代表上一排 node 0 和 下一排 node 0 之间必有一条边
{(0,y) | y ∈ f(∅) }:代表当流函数没有输入时,如果总会输出 y,那么就建立一条从 0 到 y 的边
{ (x,y) | y ∉ f(∅) and y ∈ f({x}) }:代表当流函数有输入 x ,且 y 会被输出时,则建立一条从 x 到 y 的边

上面的这是四个例子,
- λ S.S 可以理解为输入是什么输出就原封不动的输出(没有涉及到初始化相关的语句时,就用 λ S.S 表示),所以就是三条竖线。
- λ S.{a} 可以理解为不管输入是什么,输出只有 a(b不会被输出了),那么根据前面的规则,1,2 满足条件,连线即可。
- λ S.(S-{a})∪{b} 同理,a 不会被输出,且 b 会被输出
- 第四个对应第三条规则,即 a∈S 时,b 会被输出,则相应的就会有 a 到 b 之间的一条边
如果觉得这些理解起来有些抽象,那么一定要结合我们的目的来理解,就是哪些变量没有被初始化,哪些变量被初始化了,如果被初始化了,那么其就不会存在相应的边进行连接,从而也就不会被传递(用于后面的 reachability)。

这里给出了为什么需要设置 0 到 0 的边,解释的比较详细了,不在过多说明。

这张图就是根据流函数然后匹配

这条红色的边就是我们需要找的,即存在一条 g 不会被初始化的边。

当然也可能会存在这样的边,如红色连过去之后接着绿色,那实际上这种边是不满足前面提到的 CFL 的匹配规则的,因而也就会丢掉这些没有用的边。
Tabulation Algorithm
tabulation 的完整算法如下:

由于 tabulation 算法所涉及的内容较多,所以老师这里也是只简单的讲了 tabulation 的一些核心

对于这样一个已经建立完成的 G#,tabulation 需要将这些 node 进行识别,需要判断这些 node 是否可到达(判断可达性是根据前面 CFL-Reachability 的知识)。

上图中蓝色的点,即代表可达的点。
Distributivity of IFDS
分配性是 IFDS 最终要的一个性质,这关乎一个问题是否可以使用 IFDS 解决。

这里直接给出结果,就是常量传播和指针分析都不能够使用 IFDS,原因是它们都不能够满足 Distributivity。
首先来看常量传播

结果如下

上面这些内容其实就主要说了一件事,就是 IFDS 一次只能处理一个输入的情况,当有多个输入需要同时处理时,那么它就是不 Distributivity 的,即不满足 IFDS。

同时这里也给出了一个例子来说明,对于指针分析使用 IFDS 也会得到不正确的结果,原因在于没有考虑别名分析。
总结
CFL-Reachability 这一部分理解的还不算深入
思考题

- Title: 南大《软件分析》15.0 CFL-Reachability and IFDS
- Author: henry
- Created at : 2024-09-14 15:54:15
- Updated at : 2024-09-14 15:55:55
- Link: https://henrymartin262.github.io/2024/09/14/15.0_CFL_Reachability_and_IFDS/
- License: This work is licensed under CC BY-NC-SA 4.0.